class 12 physics [कक्षा १२ का भोतिक विज्ञान ]
Class 12 physics में दो भाग जिनमे कुल 16 इकाईया है . अलग अलग प्रकाशन की बुक्स में लेखक अपने हिसाब से इकाइयों का वर्गीकरण करता है ,बुक में कुल अध्याय 31 थे लेकिन लेटेस्ट अपडेट के करान इनमे कुछ कमी हो गयी है हम आपको latest syllabus के हिसाब से नोट्स provide कर रहे है 1
Table of Contents
Toggle- class 12 physics [कक्षा १२ का भोतिक विज्ञान ]
- CLASS 12 PHYSICS PART -01
- CHAPTER-03 [विद्युत विभव]
- CHAPTER -03 PART-01
- CHAPTER -03 PART-02 [NOTES]
- CHAPTER-03 PART-03
- CHAPTER-03 PART-04 [NOTES]
- CHAPTER-04 [वैद्युत धारिता ]
- CHAPTER-04 PART-01 [NOTES]
- CHAPTER-04 PART-02[NOTES]
- CHAPTER -04 PART-03 [NOTES]
- CHAPTER-04 PART-04 [NOTES]
- chapter-05 [विद्युत धारा]
- CHAPTER-05 PART-01 [NOTES]
- CHAPTER-05 PART-02 [NOTES]
- CHAPTER-05 PART-03 [NOTES]
- CHAPTER-05 PART-04 [NOTES]
- CHAPTER-05 PART-05 [NOTES]
- CHAPTER-05 PART-06 [NOTES]
- #:- विभव मापी :- यह एक एसा उपकरण है जिसकी सहायता से दो बिन्दुओ के बीच विभवान्तर अथवा सेल का विद्युत वाहक बल ज्ञात किया जा सकता है #:- रचना :- इसमें अधिक विशिष्ट प्रतिरोध वाले मेगनन के टार लगे होते है और बैटरी व धारामापी का चित्र अनुसार संयोजन किया जाता है इसमें लगे टार की लम्बाई एक मीटर होती है
- #:- सिद्धांत :- यह उपकरण विभव प्रवणता के आधार पर कार्य करता है अर्थात यदि धारामापी में L लम्बाई पर धारा का मान शून्य पाया जाता है तो परिपथ में विद्युत विभव v=E = kxL होता है #:-विभव मापी के उपयोग :- विभव मापी का उपयोग निम्न प्रकार से किया जा सकता है – 1- दो सेलो के विद्युत वाहक बलो की तुलना करने में 2- सेल का आंतरिक प्रतिरोध ज्ञात करने में #:- विभव मापी की सहायता से दो सेलो के विद्युत वाहक बलों की तुलना करना :-
- विभव मापी के द्वारा सेलो के विद्युत वाहक बलों की तुलना करने के लिए सेलो को चित्रानुसार विभव मापी में जोड़ा जाता है –
- जब परिपथ की पहली कुंजी को ओन किया जाता है तो पहले सेल का विद्युत विभव ज्ञात करने के लिए विभव मापी में माना L 1 दुरी पर संतुलन की स्थिति प्राप्त होती है तब –
- E 1 = k L 1 ————–> समीकरण 1
- इसी प्रकार जब कुंजी दूसरी को ओन करते है तो विभव मापी में माना L 2 पर संतुलन की स्थिति प्राप्त होती है तब –
- E2 = k L2 —————–> समीकरण 2
- विभव मापी के द्वारा सेल का आंतरिक प्रतिरोध ज्ञात करने लिए सेल को चित्रानुसार विभव मापी में जोड़ा जाता है –
- CHAPTER-06 [विद्युत धारा के चुम्बकीय प्रभाव ]
- CHAPTER-06 PART-01 [NOTES]
- CHAPTER-06 PART-02 [NOTES]
- CHAPTER-06 PART-03 [NOTES]
- WELCOME TO FUTURE ZONE ACADEMY CLASS- 12 [PHYSICS] CH -06 PART -03
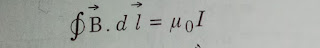
- #:-परिमित लंबाई के रिजुरेखिय धारावाही चालक के कारण उत्पन्न चुंबकीय क्षेत्र:-माना AB एक सीधा धारावाहि चालक तार है जिसमें I धारा बह रही है इसके कारण R दूरी पर स्थित बिंदु p पर चुंबकीय क्षेत्र ज्ञात करना है तब चित्रानुसार बायो सेवृत के नियम अनुसार dl अल्पांश दूरी के कारण चुंबकीय क्षेत्र –
- chapter-06 part-04 [notes]
- CHAPTER-06 PART-05 [NOTES]
- CHAPTER
CLASS 12 PHYSICS PART -01
CLASS 12 PHYSICS PART -01 में कुल 13 चैप्टर है जिन्हें इकाइयों में बाँट कर रखा है और सबसे ज्यादा न्यूमेरिकल भी इसी पार्ट्स में है अत: आपसे गुजारिस है की आप इस पार्ट्स को पुरे ध्यान से पढ़े और अगर कोई भी प्रॉब्लम आपको होती है तो आप कॉमेंट्स करके उसका समाधान पूछ सकते है
CHAPTER-03 [विद्युत विभव]
CHAPTER -03 PART-01
WELCOME TO FUTURE ZONE ACADEMY
CLASS :- 12TH
PHYSICS CH -03 PART-01
UNITE- 01
NAME- स्थिर वैधुतिकी [ STATIC ELECTRICITY ]
CHAPTER-03
NAME – वैद्युत विभव
#1:- विद्युत विभव :- वह भोतिक राशि विद्युत विभव कहलाती है जो किन्ही दो आवेशित वस्तुओ के मध्य आवेश के प्रवाह की दिशा का निर्धारण करती है 1
#2 :- विद्युत विभवन्तर :– वद्युत क्षेत्र में किसी धन परिक्षण आवेश को किसी एक बिंदु से दुसरे बिंदु तक ले जाने में किया गया कार्य उन बिन्दुओ के बीच वद्युत विभवान्तर कहलाता है इसे V से प्रदर्शित करते है अर्थात –
V= V2 – V1 = W /q
मात्रक – वोल्ट या जुल प्रति कूलाम्ब
राशी – अदिश
#3:- विद्युत विभव :- किसी एक धन आवेश (परिक्षण आवेश ) को विद्युत क्षेत्र में अनंत से किसी बिंदु तक लाने में विद्युत क्षेत्र के विरुद्ध किया गया कार्य विद्युत विभव कहलाता है इसे भी V से प्रदर्शित करते है अर्थात –
V = W / q
मात्रक – वोल्ट या जुल प्रति कूलाम्ब
राशी – अदिश
#४:- एकल बिंदु अआवेश के कारन विद्युत विभव के लिए व्यंजक :- माना एक बिंदु आवेश q परावैद्युत K वाले माध्यम में बिंदु O पर उपस्थित है बिंदु आवेश के कारन वद्युत क्षेत्र में बिंदु O से r दुरी पर स्थित बिंदु p पर विद्युत विभव ज्ञात करना है –
#5:- बिंदु आवेशो के कारण बने निकाय में विद्युत विभव :- अनेक बिंदु आवेशो के कारन बने निकाय में किसी बिंदु पर विद्युत विभव उनके द्वारा अलग अलग विभव के बीज गणितीय योग के बराबर होता है
CHAPTER -03 PART-02 [NOTES]
WELCOME TO FUTURE ZONE ACADEMY
CLASS :- 12TH
PHYSICS CH -03 PART-02
UNITE- 01
NAME- स्थिर वैधुतिकी [ STATIC ELECTRICITY ]
CHAPTER-03
NAME – वैद्युत विभव
#:- विद्युत द्विधुर्व के कारन विद्युत विभव :- इसके कारन निम्नलिखित स्थिति यो में विभव ज्ञात किया जा सकता है –
1:- अक्षीय स्थिति में
2:- निर्क्षीय स्थिति में
3:- किसी भी स्थिति में
#:- विद्युत द्विधुर्व के कारन अक्षीय स्थिति में विद्युत विभव:- माना एक विद्युत द्विधुर्व है जिससे अक्षीय स्थिति में r दुरी पर विद्युत विभव ज्ञात करना है तब चित्रानुसार
CHAPTER-03 PART-03
WELCOME TO FUTURE ZONE ACADEMY
CLASS :- 12TH
PHYSICS CH -03 PART-03
UNITE- 01
NAME- स्थिर वैधुतिकी [ STATIC ELECTRICITY ]
CHAPTER-03
NAME – वैद्युत विभव
#:- विभव प्रवणता :- बिंदु आवेश के कारन विद्युत क्षेत्र की दिशा में आवेश से दुरी परिवर्तन के साथ साथ विभव में भी परिवर्तन होता इस परिवर्तन की दर को विभव प्रवणता कहते है इसे K से प्रदर्शित करते है सामान्यत: इसे निम्न सूत्र से ज्ञात करते है –
K = dv / dr
मात्रक – वोल्ट / मीटर
राशि – सदिश
दिशा – ऋण आवेश से धन आवेश की और
विमा – [ML^2T^-3A^-1]
#:- विभव प्रवणता और विद्युत क्षेत्र की तीर्वता में सम्बन्ध –
माना बिंदु o पर एक धन आवेश q स्थित है इस बिंदु के सापेक्ष बिंदु p स्थिति r है आवेश q के कारन बिंदु p पर विद्युत क्षेत्र की तीर्वता E है तब चित्रानुसार –
CHAPTER-03 PART-04 [NOTES]
WELCOME TO FUTURE ZONE ACADEMY
CLASS :- 12TH
PHYSICS CH -03 PART-04
UNITE- 01
NAME- स्थिर वैधुतिकी [ STATIC ELECTRICITY ]
CHAPTER-03
NAME – वैद्युत विभव
#:- एक समान विद्युत क्षेत्र में विद्युत द्विधुर्व को घुमाने में किया गया कार्य :-
माना एक विद्युत द्विधुर्व AB जिसका विद्युत द्विधुर्व आघूर्ण p है एक समान विद्युत क्षेत्र में चित्र अनुसार रखा है
CHAPTER-04 [वैद्युत धारिता ]
CHAPTER-04 PART-01 [NOTES]
WELCOME TO FUTURE ZONE ACADEMY
CLASS :- 12TH
PHYSICS CH -04 PART-01
UNITE- 01
NAME- स्थिर वैधुतिकी [ STATIC ELECTRICITY ]
CHAPTER-04
NAME – वैद्युत धारिता

CHAPTER-04 PART-02[NOTES]
CLASS :- 12TH
PHYSICS CH -04 PART-02
UNITE- 01
NAME- स्थिर वैधुतिकी [ STATIC ELECTRICITY ]
CHAPTER-04
NAME – वैद्युत धारिता
CHAPTER -04 PART-03 [NOTES]
WELCOME TO FUTURE ZONE ACADEMY
CLASS :- 12TH
PHYSICS CH -04 PART-03
UNITE- 01
NAME- स्थिर वैधुतिकी [ STATIC ELECTRICITY ]
CHAPTER-04
NAME – वैद्युत धारिता


CHAPTER-04 PART-04 [NOTES]
WELCOME TO FUTURE ZONE ACADEMY
CLASS :- 12TH
PHYSICS CH -04 PART-03
UNITE- 01
NAME- स्थिर वैधुतिकी [ STATIC ELECTRICITY ]
CHAPTER-04
NAME – वैद्युत धारिता
#:- संरचना :- इस मसीन में एक विशाल धातु का खोखला गोला S होता है जो चित्र अनुसार दो वैदुत रोधी सत्म्भो पर रखा होता है और इसमें दो पुली लगी रहती जिनपर एक पट्टा लगा रहता है जो आवेश को एक सिरे से दुसरे सिरे तक ले जाने का कार्य करता है पुली (1 ) के पास में एक कंघी लगी रहती है जो आवेश को H . T श्रोत से को लेकर पट्टे पर डालती है और ये पट्टा इस आवेश को दूसरी पुली तक ले जाने का कार्य करता है
chapter-05 [विद्युत धारा]
CHAPTER-05 PART-01 [NOTES]
WELCOME TO FUTURE ZONE ACADEMY
CLASS :- 12TH
PHYSICS CH -05 PART-01
UNITE- 02
NAME- विद्युत धारा [electric current ]
CHAPTER-05
NAME – विद्युत चालन अथवा विद्युत धारा
CHAPTER-05 PART-02 [NOTES]
CHAPTER-05 PART-03 [NOTES]
CHAPTER-05 PART-04 [NOTES]
CHAPTER-05 PART-05 [NOTES]
#:- सेल के टर्मिनल विभवान्तर , विद्युत वाहक बल और आंतरिक प्रतिरोध में सम्बन्ध :- माना एक सेल जिसका विद्युत वाहक बल E आयर आंतरिक प्रतिरोध r है बाह्य परिपथ में R प्रतिरोध के उपकरण से जुड़ा है तब –
माना श्रेणी क्रम में प्रतिरोध R के साथ n सेल विद्युत वाहक बल E और आंतरिक प्रतिरोध r वाले जोड़े गये है –
माना n सेल जिनका आंतरिक प्रतिरोध r तथा विद्युत वाहक बल E , एक साथ बाह्य प्रतिरोध R के साथ जोड़े गये है तब –
माना n सेल जिनका आंतरिक प्रतिरोध r और विद्युत वाहक बल E को श्रेणी में लगाकर m पंक्तिया समांतर क्रम में चित्रानुसार लगाई गयी है तब –
CHAPTER-05 PART-06 [NOTES]
2- किर्चोफ्फ़ का द्वितीय नियम अर्थात लूप का नियम :- इस नियम के अनुसार किसी परिपथ के प्रयेक बंद भाग के विभिन्न खंडो में बहने वाली धारा तथा संगत धारा के प्रतिरोध के गुणनफलो का बीज गणितीय योग उस भाग में लगने वाले विद्युत वाहक बलो के बीज गणितीय योग के बराबर होता है अर्थता
#:- रचना :- इसमें चार प्रतिरोध P , Q , R और S चित्र अनुसार लगे रहते है और इन्हें बैटरी से जोडकर परिपथ में धारामापी G चित्र अनुइसर लगाया जाता है 1 इन प्रतिरोधो में तीन प्रतोरोध का मान ज्ञात होता है जबकि चोथे s का गीता करना होता है
#:- रचना :- इसमें एक मीटर लम्बा एवं एकसमान परिच्छेद बका कांस्टेंटन का तार AC चित्र अनुसार लगा रहता है और इस परिपथ में एक प्रतिरोध बोक्स और अज्ञात प्रतिरोध S भी लगे रहते है जो बैटरी के साथ चित्र अनुसार जुड़े रहते है –

























































































